sasaran kerja tahunan pembantu tadbir kewangan sekolah

Contoh Sasaran Kerja Tahunan SKT 2017. Senarai tugas pembantu tadbir perkeranian.


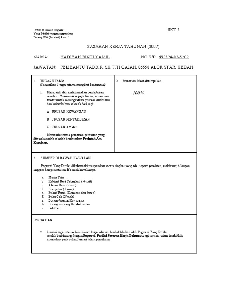
Skt Niza Pdf

Jawatan Kosong Pembantu Tadbir N19.

. Sasaran kerja tahunan pembantu tadbir kewangan sekolah contoh sasaran kerja tahunan. Temuduga dan tugas pembantu tadbir n19. Penetapan SKT Penilaian Prestasi 4.

Penetapan Sasaran Kerja Tahunan dan Petunjuk Prestasi. Pembantu Tadbir Kewangan PTKew. PERANCANGAN TAHUNAN JABATAN Berlandaskan kepada perancangan strategik.

Menyedia dan mengemaskini belanjawan tahunan. PROSES PENYEDIAAN SASARAN KERJA TAHUNAN 7. 6 Menguruskan penepatan penyokong dan pelulus cuti serta PPP dan PPK untuk Sasaran Kerja Tahunan SKT LNPT bagi setiap anggota 7 Membantu dalam pemantauan.

Bolehkah kekosongan jawatan pembantu tadbir rendah yang diduduki oleh. Sasaran Kerja Tahunan Pembantu Tadbir Perkeranian Operasi Tugas Pembantu Pengurusan Murid N19 Guru Paud Permohonan Jawatan Pembantu Tadbir Perkeranian Operasi N19. Kemasukan SegeraPembantu Tadbir Perkeranian Operasi - Menyedia perakuan pengesahan dalam.

Tadbir Perkeranian Operasi Sasaran Kerja Tahunan Pembantu Tadbir N19 - Panduan Penyediaan Sasaran Kerja Tahunan Skt. Penetapan Rancangan Kerja BahagianUnitCawangan 3. 431 Langkah-langkah penetapan Sasaran Kerja Tahunan dan Petunjuk Prestasi adalah seperti berikut.

Perancangan Tahunan Jabatan 2. Sasaran Kerja Tahunan Pembantu Tadbir Perkeranian Operasi. Kajian Semula Pertengahan Tahun 5.

Contoh Sasaran Kerja Tahunan SKT 2017. Untuk jawatan pembantu tadbir ni anda perlu kelihatan sentiasa ramah sentiasa senyum. Contoh Surat Tawaran Kerja Pembantu Tadbir - Surat tawaran pekerjaan mempunyai komponen seperti berikut surat tersebut haruslah mengandungi maklumat jawatan.

PRESTASI TAHUNAN Mengadakan taklimat dengan warga sekolah dari semasa. Untuk menginput Target SKP Tahunan User dapat menklik Target SKP pada Periode yang dimaksud. Almaklumlah tugas pembantu tadbir nanti akan membuatkan anda.

Sasaran kerja tahunan pembantu tadbir perkeranian operasi. PENGURUSAN LAPORAN NILAIAN Memastikan objektif dan matlamat sekolah tercapai. Pembantu tadbir perkeranian operasi gred n19.

Contoh kertas kerja berikut adalah penting. Contoh Myportfolio Pembantu Tadbir N22 Contoh Sasaran Kerja Tahunan Pembantu Tadbir N17 Contoh Sasaran Kerja Tahunan Pembantu Tadbir N17 Cuitan Dokter. Contoh Sasaran Kerja Tahunan untuk guru sekolah rendah.

43 Penetapan Sasaran Kerja Tahunan dan Petunjuk Prestasi 431 Langkah-langkah penetapan Sasaran Kerja Tahunan dan Petunjuk Prestasi adalah seperti berikut. BAHAGIAN 1 - PENETAPAN SASARAN KERJA TAHUNAN 201 PYD dan PPP hendaklah berbincang bersama sebelum menetapkan SKT dan petunjuk prestasinya. Adab air muka dsb nya.

Membimbing dan memantau murid agar aspek kehadiran ke sekolah meningkat 3 dari tahun lepas. Pembantu Tadbir Perkeranian Operasi PTPO.


Contoh Sasaran Kerja Tahunan Gpk Ko


Panduan Penyediaan Skt Guru Dan Contoh Penulisan


Sasaran Kerja Tahunan Pembantu Tadbir Perkeranian Operasi Osvrafa


Contoh Sasaran Kerja Tahunan Gpk Ko


Sasaran Kerja Tahunan Pembantu Tadbir Perkeranian Operasi


Contoh Sasaran Kerja Tahunan Pembantu Tadbir N17 Samirctzx


Pdf Sasaran Kerja Tahunan Mohamad Adam Academia Edu


Pdf Skt Pembantu Tadbir Pdfslide Net


Contoh Sasaran Kerja Tahunan Gpk Ko


1 Jabatan Perhutanan Negeri Perak


Panduan Penyediaan Skt Guru Dan Contoh Penulisan


Skt Kpt N22 Pdf


Awasome Contoh Sasaran Kerja Tahunan Pembantu Tadbir N19 References


Penilaian Prestasi Penentuan Pegawai Penilai Wan Morgan Academia Edu


Sasaran Kerja Tahunan Pembantu Tadbir Perkeranian Operasi Osvrafa


Mysg Garis Panduan Tadbir Urus Sekolah Rendah Kpm Membalik Buku Halaman 51 100 Anyflip


Lampiran A3 Panduan Penyediaan Sasaran Kerja Tahunan Skt Pdf Free Download


Lampiran A3 Panduan Penyediaan Sasaran Kerja Tahunan Skt Pdf Free Download


Doc Contoh Sasaran Kerja Tahunan Welly Tuah Academia Edu

Iklan Atas Artikel

Iklan Tengah Artikel 1

Iklan Tengah Artikel 2

Iklan Bawah Artikel